全国名媛凤楼_一品楼_全国茶楼信息网

北京仪创时代科技有限公司欢迎您! 加入收藏 | 设为首页 | 联系我们
免费咨询热线
400-1800-820
 当前位置:主页 > 新闻中心 > 公司动态    
新闻中心
公司动态
行业新闻
产品搜索
联系我们
全国服务热线
400-1800-820

销售热线
13439760954 林经理
13810317696 解经理
 
传真:010-56320230
邮箱:yctimes@126.com
 
销售联系地址
北京东燕郊镇北蔡新村3号楼2单元1402

24小时技术支持
15001079443 田
微信同号

发票相关事宜
13240918340  郭女士

公司动态
 
波纹管法自收缩测试方法系列问题解答(连续更新)
 


波纹管法测长度的原理
1、体积变形向长度变形的转换
    对塑性阶段的水泥基材料,采用长度来度量是没有意义的,流体只能以体积来计量。如果流体的形状固定,则流体的体积就可以以长度来计量。如图1所示的波纹管具有特殊的特性。波纹管沿轴向方向的刚度与径向方向的刚度相比忽略不计,换言之,沿轴向方向的变形能力远大于沿径向方向变形能力。对于这样的波纹管,体积的变化将全部以长度变化的形式来体现。

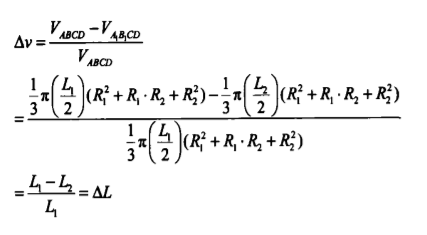
    选取波纹管的结构单元ABCD,因为沿径向的变形与轴向相比忽略不计,变形以后的结构单元为A、B、C、D,则单位体积的变形为:

    通过上述几何证明,如果流体与波纹管的变形能够协同一致,即波纹管内的流体与波纹管本身构成一个变形的整体,则测量出来的波纹管的长度变形就是流体本身的变形。

2、波纹管内部空气对于自收缩应变测试结果的影响

    对比波纹管内空气对自收缩应变测试结果可见,在14d龄期时,含有空气的波纹管试件的自收缩较正常装满的波纹管试件的自收缩低。同样,这种差异也主要发生在测试初期。在终凝之后7h左右,2条曲线开始以完全相同的规律发展,由此可知,终凝7h以后的自收缩应变的测试结果与波纹管内部的空气无关。

3、波纹管对约束的影响

因为波纹管测长度的方式所测试的对象是连同模具在内的整体, 因此 约束具有3个层面的含义:

(1)水泥基材料与模具之间的内部约束 , 是驱动混凝土与模具协同变形的内力

(2)模具与支撑面之间的外部约束, 是阻碍 试件变形的外力

(3)模具 自身刚度的内部约束 , 是阻碍水泥基材料初始变形的内力。

比较如图2所示的3种结构形式模具, 直型模 具与支撑面之间为全接触, 因此变形时受到支撑面 的约束最大。方锯齿形的模具相 比较而言减少了部 分的接触面积, 受到支撑面的约束程度降低。 三角波纹管由于在横截面上表现为点接触, 接触面积最 小, 因此受到支撑面 的约束最小。 直型的模具与内 部被测试件之间仅仅依靠静摩擦力而联结。 锯齿形 的模具由于具有凹进 去的锯齿, 加强了模具与被测 试件之间的咬合, 保障模具与试件之间的协同变形 。 此外, 在上述3种形式的模具中, 三角形的波纹管 相 比较而言结构形式更加类似于弹簧 , 在组成材料 相 同时, 具有更高的伸缩性 。 当然, 模具的变形能 力还与模具 自身材料的刚度 、 波纹管波形的尺寸有 关。 因此 , 采用三角锯齿形波纹管结构形式能够最 大程度地降低支撑面的外部约束, 增加被测试件与 模具 之 间 的内部 约束 , 降低 自身刚度对被测试件变形的约束, 保障模具和被测试件之间变形一致。


 
 
分享到:
 
上一篇:YC-SSJ全自动混凝土收缩膨胀仪解决的问题之一  
下一篇:什么是波纹管自收缩测定仪YC-BWS?  
 
 
公司简介 产品中心 经典案例 公司新闻 下载中心 公司招聘 联系我们
 

销售联系地址:北京东燕郊镇北蔡新村3号楼2单元1402

联系电话:400-1800-820

京ICP备12020167号-1   京公网安备11010802018201号

 


技术支持:三一网络
t> 主站蜘蛛池模板: 南木林县| 天等县| 中牟县| 迁西县| 汽车| 芮城县| 玛纳斯县| 北海市| 宿松县| 都兰县| 洪湖市| 广丰县| 西乌珠穆沁旗| 澄江县| 怀集县| 伊春市| 屏东县| 巴马| 秭归县| 永川市| 贵溪市| 高密市| 双峰县| 宜城市| 财经| 富阳市| 五莲县| 蒙自县| 六安市| 永济市| 连山| 开原市| 巴楚县| 平原县| 瑞安市| 望江县| 湘西| 江山市| 卢湾区| 乌什县| 昌都县|